반응형
연구직 공무원(연구사/연구관) / 국가정보원 전문관 연봉 월급 수당

안녕하세요. 제너럴 킴입니다.
오늘은 직종별 공무원 중 연구직 공무원 및 국가정보원 전문관 봉급표와 수당에 대해 살펴보고자 합니다.
아시다시피 공무원의 보수체계는 봉급과 그 밖의 각종 수당으로 구성되어 있습니다. 봉급은 직무의 곤란성과 책임의 정도에 따라 직책별로 지급되는 기본 급여 또는 직무의 곤란성과 책임의 정도 및 재직기간 등에 따라 계급별, 호봉별로 지급되는 급여를 말하며, 수당이란 직무여건 및 생활여건 등에 따라 지급되는 부가급여를 말합니다.
※ 자료출처 : 인사혁신처 홈페이지
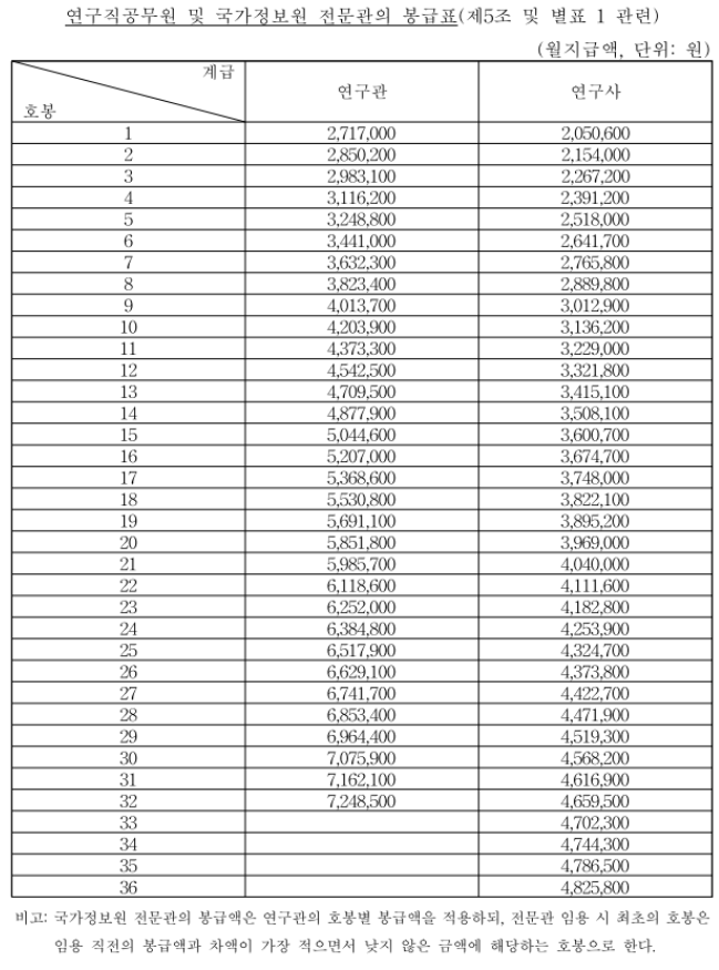
1. 연구직 공무원 및 국가정보원 전문관 봉급표

2. 공무원의 수당제도
- 공무원 수당은 공무원에게 지급되는 보수 중의 일부로서 직무여건 및 생활여건 등에 따라 지급되는 부가급여를 말합니다.
- 상여수당(3종)은 상위직급의 대우공무원으로 선발된 공무원에게 지급하는 대우공무원 수당, 근무연수에 따라 지급되는 정근수당, 근무실적 등이 우수한 사람에게 지급하는 성과상여금이 있습니다.
- 가계보전수당(4종)은 부양가족이 있는 공무원에게 지급하는 가족수당, 재외 근무지 학교에 다니는 자녀가 있는 재외공무원에게 지급하는 자녀학비보조수당, 군인 및 재외공무원에게 지급하는 주택수당, 육아휴직한 공무원에게 지급하는 육아휴직수당이 있습니다.
- 특수지근무수당은 교통이 불편하고 문화, 교육시설이 거의 없는 지역이나 근무환경이 특수한 기관에 근무하는 공무원에게 지급합니다.
- 특수근무수당(4종)은 위험한 직무에 종사하는 공무원에게 지급하는 위험근무수당, 특수한 업무에 종사하는 공무원에게 지급하는 특수업무수당, 병가/출산휴가/유산휴가/사산휴가, 육아휴직 또는 공무상 질병 휴직 중인 공무원의 업무 등을 대행하는 공무원에게 지급하는 업무대행수당, 군법무관에게 지급하는 군법무관수당이 있습니다.
- 초과근무수당(2종)은 5급 이하 공무원으로서 규정된 근무시간 외에 근무한 공무원에게 지급하는 초과근무수당과 4급 이상 관리자에게 지급하는 관리업무수당이 있습니다.
- 실비변상등(4종)은 정액급식비, 명절휴가비, 연가보상비, 직급보조비가 있습니다.

이상으로 직종별 공무원 중 연구직 공무원 및 국가정보원 전문관의 봉급표와 공무원의 수당제도에 대해 살펴보았습니다.
아무쪼록 공무원에 관심이 있거나 실제로 공무원 취업을 준비하고 계신 분들에게 많은 도움이 되었으면 합니다. 여러분의 멋진 인생 2막을 응원하겠습니다. 감사합니다.
연구직 공무원(연구사/연구관) / 국가정보원 전문관 연봉 월급 수당
반응형
'공무원 봉급 및 복지' 카테고리의 다른 글
| 대학교 교직원(국립대학 교원) 연봉 월급 수당 (0) | 2024.07.08 |
|---|---|
| 전문경력관 공무원 연봉 월급 수당 (1) | 2024.07.05 |
| 유치원 교사, 초등학교 교사, 중학교 교사, 고등학교 교사 연봉 월급 수당 (0) | 2024.07.02 |
| 경찰, 소방관 연봉 월급 수당 (0) | 2024.06.28 |
| 군인 연봉 월급 수당 (장교/부사관/준사관) (0) | 2024.06.27 |